Das checkliste richtlinien zur vorzeitigen entlassung es hat 2 seiten und ist ein MS Word art darunter aufgeführt personalwesen unterlagen.
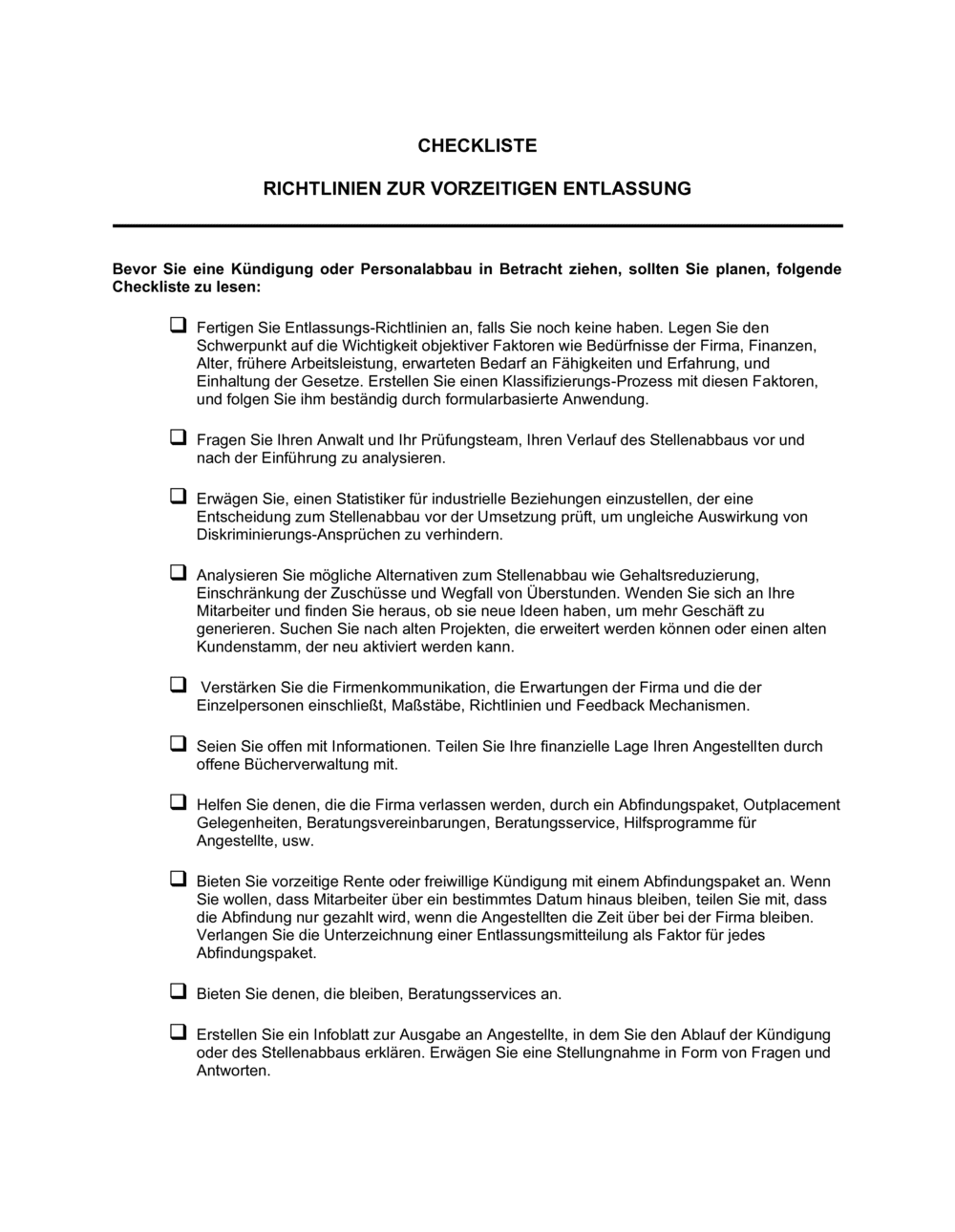
CHECKLISTE RICHTLINIEN ZUR VORZEITIGEN ENTLASSUNG Bevor Sie eine Kündigung oder Personalabbau in Betracht ziehen, sollten Sie planen, folgende Checkliste zu lesen: Fertigen Sie Entlassungs-Richtlinien an, falls Sie noch keine haben. Legen Sie den Schwerpunkt auf die Wichtigkeit objektiver Faktoren wie Bedürfnisse der Firma, Finanzen, Alter, frühere Arbeitsleistung, erwarteten Bedarf an Fähigkeiten und Erfahrung, und Einhaltung der Gesetze. Erstellen Sie einen Klassifizierungs-Prozess mit diesen Faktoren, und folgen Sie ihm beständig durch formularbasierte Anwendung. Fragen Sie Ihren Anwalt und Ihr Prüfungsteam, Ihren Verlauf des Stellenabbaus vor und nach der Einführung zu analysieren. Erwägen Sie, einen Statistiker für industrielle Beziehungen einzustellen, der eine Entscheidung zum Stellenabbau vor der Umsetzung prüft, um ungleiche Auswirkung von Diskriminierungs-Ansprüchen zu verhindern. Analysieren Sie mögliche Alternativen zum Stellenabbau wie Gehaltsreduzierung, Einschränkung der Zuschüsse und Wegfall von Überstunden. Wenden Sie sich an Ihre Mitarbeiter und finden Sie heraus, ob sie neue Ideen haben, um mehr Geschäft zu generieren. Suchen Sie nach alten Projekten, die erweitert werden können oder einen alten Kundenstamm, der neu aktiviert werden kann. Verstärken Sie die Firmenkommunikation, die Erwartungen der Firma und die der Einzelpersonen einschließt, Maßstäbe, Richtlinien und Feedback Mechanismen. Seien Sie offen mit Informationen. Teilen Sie Ihre finanzielle Lage Ihren Angestellten durch offene Bücherverwaltung mit.
Teil Ihres Business Operating System
Bewertet am

Das checkliste richtlinien zur vorzeitigen entlassung es hat 2 seiten und ist ein MS Word art darunter aufgeführt personalwesen unterlagen.
CHECKLISTE RICHTLINIEN ZUR VORZEITIGEN ENTLASSUNG Bevor Sie eine Kündigung oder Personalabbau in Betracht ziehen, sollten Sie planen, folgende Checkliste zu lesen: Fertigen Sie Entlassungs-Richtlinien an, falls Sie noch keine haben. Legen Sie den Schwerpunkt auf die Wichtigkeit objektiver Faktoren wie Bedürfnisse der Firma, Finanzen, Alter, frühere Arbeitsleistung, erwarteten Bedarf an Fähigkeiten und Erfahrung, und Einhaltung der Gesetze. Erstellen Sie einen Klassifizierungs-Prozess mit diesen Faktoren, und folgen Sie ihm beständig durch formularbasierte Anwendung. Fragen Sie Ihren Anwalt und Ihr Prüfungsteam, Ihren Verlauf des Stellenabbaus vor und nach der Einführung zu analysieren. Erwägen Sie, einen Statistiker für industrielle Beziehungen einzustellen, der eine Entscheidung zum Stellenabbau vor der Umsetzung prüft, um ungleiche Auswirkung von Diskriminierungs-Ansprüchen zu verhindern. Analysieren Sie mögliche Alternativen zum Stellenabbau wie Gehaltsreduzierung, Einschränkung der Zuschüsse und Wegfall von Überstunden. Wenden Sie sich an Ihre Mitarbeiter und finden Sie heraus, ob sie neue Ideen haben, um mehr Geschäft zu generieren. Suchen Sie nach alten Projekten, die erweitert werden können oder einen alten Kundenstamm, der neu aktiviert werden kann. Verstärken Sie die Firmenkommunikation, die Erwartungen der Firma und die der Einzelpersonen einschließt, Maßstäbe, Richtlinien und Feedback Mechanismen. Seien Sie offen mit Informationen. Teilen Sie Ihre finanzielle Lage Ihren Angestellten durch offene Bücherverwaltung mit.

Greifen Sie auf über 3,000+ geschäftliche und rechtliche Vorlagen für jede Aufgabe, jedes Projekt oder jede Initiative zu.

Passen Sie Ihre vorgefertigte Geschäftsdokumentvorlage an und speichern Sie sie in der Cloud.

Teilen Sie Ihre Dateien und Ordner mit Ihrem Team. Erstellen Sie einen Raum für nahtlose Zusammenarbeit.
Hören Sie auf, Dokumente herunterzuladen. Beginnen Sie, mit Klarheit zu arbeiten. Business in a Box bietet Ihnen das Business Operating System, das von über 250.000 Unternehmen weltweit genutzt wird, um ihr Geschäft zu strukturieren, zu führen und auszubauen.
