Das plan zur kurzfristigen invaliditätsversicherung es hat 6 seiten und ist ein MS Word art darunter aufgeführt personalwesen unterlagen.
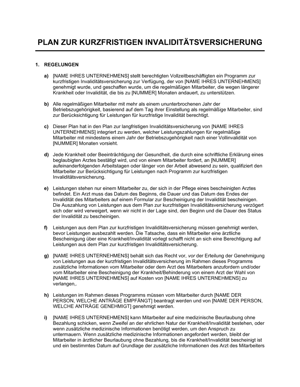
PLAN ZUR KURZFRISTIGEN INVALIDITÄTSVERSICHERUNG REGELUNGEN [NAME IHRES UNTERNEHMENS] stellt berechtigten Vollzeitbeschäftigten ein Programm zur kurzfristigen Invaliditätsversicherung zur Verfügung, der von [NAME IHRES UNTERNEHMENS] genehmigt wurde, und geschaffen wurde, um die regelmäßigen Mitarbeiter, die wegen längerer Krankheit oder Invalidität, die bis zu [NUMMER] Monaten andauert, zu unterstützen. Alle regelmäßigen Mitarbeiter mit mehr als einem ununterbrochenen Jahr der Betriebszugehörigkeit, basierend auf dem Tag ihrer Einstellung als regelmäßige Mitarbeiter, sind zur Berücksichtigung für Leistungen für kurzfristige Invalidität berechtigt. Dieser Plan hat in den Plan zur langfristigen Invaliditätsversicherung von [NAME IHRES UNTERNEHMENS] integriert zu werden, welcher Leistungszahlungen für regelmäßige Mitarbeiter mit mindestens einem Jahr der Betriebszugehörigkeit nach einer Vollinvalidität von [NUMMER] Monaten vorsieht. Jede Krankheit oder Beeinträchtigung der Gesundheit, die durch eine schriftliche Erklärung eines beglaubigten Arztes bestätigt wird, und von einem Mitarbeiter fordert, an [NUMMER] aufeinanderfolgenden Arbeitstagen oder länger von der Arbeit abwesend zu sein, qualifiziert den Mitarbeiter zur Berücksichtigung für Leistungen nach Programm zur kurzfristigen Invaliditätsversicherung. Leistungen stehen nur einem Mitarbeiter zu, der sich in der Pflege eines bescheinigten Arztes befindet. Ein Arzt muss das Datum des Beginns, die Dauer und das Datum des Endes der Invalidität des Mitarbeiters auf einem Formular zur Bescheinigung der Invalidität bescheinigen. Die Auszahlung von Leistungen aus dem Plan zur kurzfristigen Invaliditätsversicherung verzögert sich oder wird verweigert, wenn wir nicht in der Lage sind, den Beginn und die Dauer des Status der Invalidität zu bescheinigen. Leistungen aus dem Plan zur kurzfristigen Invaliditätsversicherung müssen genehmigt werden, bevor Leistungen ausbezahlt werden. Die Tatsache, dass ein Mitarbeiter eine ärztliche Bescheinigung über eine Krankheit/Invalidität vorlegt schafft nicht an sich eine Berechtigung auf Leistungen aus dem Plan zur kurzfristigen Invaliditätsversicherung. [NAME IHRES UNTERNEHMENS] behält sich das Recht vor, vor der Erteilung der Genehmigung von Leistungen aus der kurzfristigen Invaliditätsversicherung im Rahmen dieses Programms zusätzliche Informationen vom Mitarbeiter oder dem Arzt des Mitarbeiters anzufordern und/oder vom Mitarbeiter eine Bescheinigung der Krankheit/Behinderung von einem Arzt der Wahl von [NAME IHRES UNTERNEHMENS] auf Kosten von [NAME IHRES UNTERNEHMENS] zu verlangen,. Leistungen im Rahmen dieses Programms müssen vom Mitarbeiter durch [NAME DER PERSON, WELCHE ANTRÄGE EMPFÄNGT] beantragt werden und von [NAME DER PERSON, WELCHE ANTRÄGE GENEHMIGT] genehmigt werden. [NAME IHRES UNTERNEHMENS] kann Mitarbeiter auf eine medizinische Beurlaubung ohne Bezahlung schicken, wenn Zweifel an der ehrlichen Natur der Krankheit/Invalidität bestehen, oder wenn zusätzliche medizinische Informationen benötigt werden, um den Anspruch zu untermauern. Wenn zusätzliche medizinische Informationen angefordert werden, bleibt der Mitarbeiter in ärztlicher Beurlaubung ohne Bezahlung, bis die Krankheit/Invalidität bescheinigt ist und ein bestimmtes Datum auf Grundlage der zusätzliche Informationen des Arzt des Mitarbeiters oder eines Arztes von [NAME IHRES UNTERNEHMENS] festgesetzt ist. Eine Rückbestätigung der Invalidität oder langfristigen Erkrankung durch den behandelnden Arzt wird von [NAME IHRES UNTERNEHMENS] alle zwei Wochen verlangt, es sei denn, ein Arzt ist in der Lage, gleich zu Beginn einen gesamten Zeitraum der Invalidität vorherzusagen. Diese rückbestätigten Bescheinigungen können Gegenstand der Überprüfung durch einen nach Wahl des Unternehmens und auf dessen Kosten gerufenen Arztes werden. Leistungen für kurzfristige Invalidität beginnen mit dem Datum der ärztlichen Bescheinigung oder dem ersten Tag des Zeitraums der Invalidität, wie dies durch das Datum der Wirksamkeit in der Bescheinigung ausgewiesen wird, je nachdem, welches das frühere Datum ist. Der Höchstbetrag der Leistungen aus dem Programm zur kurzfristigen Invaliditätsversicherung sind [NUMMER] Arbeitstage mit vollem Lohnausgleich oder eine Kombination von gesamter und halber Lohnzahlung für zusammen [NUMMER] Arbeitstage, nach welcher Zeit eine Festsetzung erfolgen kann, dass der Mitarbeiter die Voraussetzungen für vom Unternehmen ausbezahlte Leistungen aus langfristiger Invalidität erfüllt. Leistungen für kurzfristige Invalidität werden in Einklang mit der folgenden Tabelle ausbezahlt: Dauer der Beschäftigungals ein regelmäßiger Mitarbeiter Betrag der Leistung 1-2 Jahre 20 Tage mit vollem Lohnausgleich, gefolgt von20 Tagen mit halbem Lohn 3 Jahre 30 Tage mit vollem Lohnausgleich, gefolgt von30 Tagen mit halbem Lohn 4 Jahre 40 Tage mit vollem Lohnausgleich, gefolgt vonby 40 Tagen mit halbem Lohn 5 Jahre 50 Tage mit vollem Lohnausgleich, gefolgt von50 Tagen mit halbem Lohn 6 Jahre 60 Tage mit vollem Lohnausgleich, gefolgt von60 Tagen mit halbem Lohn 7 Jahre 70 Tage mit vollem Lohnausgleich, gefolgt von60 Tagen mit halbem Lohn 8 Jahre 80 Tage mit vollem Lohnausgleich, gefolgt von50 Tagen mit halbem Lohn 9 Jahre 90 Tage mit vollem Lohnausgleich, gefolgt von40 Tagen mit halbem Lohn 10 Jahre 100 Tage mit vollem Lohnausgleich, gefolgt von30 Tagen mit halbem Lohn 11 Jahre 110 Tage mit vollem Lohnausgleich, gefolgt von20 Tagen mit halbem Lohn 12 Jahre 120 Tage mit vollem Lohnausgleich, gefolgt von10 Tagen mit halbem Lohn 13 Jahre oder mehr (Maximaler Betrag an Leistung) [NUMMER] Tage mit vollem Lohnausgleich Die Berechnungsgrundlage für die Leistungen eines Kundenvertreters oder eines Mitarbeiters mit sonstigen leistungsbezogenen Vergütungen ist entweder: 80% des Gesamteinkommens der letzten 24 Monate geteilt durch 52 zweiwöchentliche Zeiträume (oder, wenn erstmalig in den Genuss gelangt, die letzten 12 Monate geteilt durch 26) um den durchschnittlichen zweiwöchentlichen Gehaltsscheck zu ermitteln; oder 100% des tatsächlichen jährlichen Gesamteinkommens geteilt durch 26, um den zweiwöchentlichen Gehaltsscheck zu bestimmen, je nachdem, welches der größere Wert ist. Diesen Mitarbeitern werden Leistungen für kurzfristige Invalidität gemäß der Tabelle in l) ausbezahlt. Provisionszahlungen werden, während der Mitarbeiter mit leistungsbezogener Vergütung Leistungen für kurzfristige Invalidität bezieht, eingestellt. Regelmäßige Mitarbeiter sind für unterschiedliche Beträge wie oben erwähnt gemäß der Dauer der Beschäftigung an deren Jahrestag berechtigt. Wenn ein Jubiläumsdatum eintritt, während ein Mitarbeiter Leistungen für kurzfristige Invalidität erhält, hat er Anspruch auf den größeren Versicherungsbetrag, wie in der Tabelle in l) beschrieben. Am Ende von sechs Monaten fortwährender Invalidität wird eine Bewertung vorgenommen, um zu sehen, ob der Mitarbeiter die Voraussetzungen für den Plan zur langfristigen Invaliditätsversicherung von [NAME IHRES UNTERNEHMENS] erfüllt. Wenn zu diesem Zeitpunkt der Mitarbeiter vom Verwalter des Plans zur langfristigen Invaliditätsversicherung bescheinigt wird, kann dessen Beschäftigung mit der Option der Wiedereinstellung, wenn es die Gesundheit des Mitarbeiters erlaubt, gekündigt werden. Wenn es klar wird, dass die Rückkehr des Mitarbeiters zur Arbeit unmittelbar bevorsteht, nachdem bezahlte Leistungen für kurzfristige Invalidität verfallen, kann eine Beurlaubung ohne Bezahlung durch [NAME DER PERSON, WELCHE BEURLAUBUNGEN GENEHMIGT] genehmigt werden. [NAME IHRES UNTERNEHMENS] basiert Zahlungen für Invalidität auf einen Vorfall der Invalidität, anstatt auf ein Kalenderjahr. Ein Zeitraum der Invalidität, der in einem Jahr begonnen hat, kann sich auf das folgende Jahr ausdehnen.
Teil Ihres Business Operating System
Bewertet am

Das plan zur kurzfristigen invaliditätsversicherung es hat 6 seiten und ist ein MS Word art darunter aufgeführt personalwesen unterlagen.
PLAN ZUR KURZFRISTIGEN INVALIDITÄTSVERSICHERUNG REGELUNGEN [NAME IHRES UNTERNEHMENS] stellt berechtigten Vollzeitbeschäftigten ein Programm zur kurzfristigen Invaliditätsversicherung zur Verfügung, der von [NAME IHRES UNTERNEHMENS] genehmigt wurde, und geschaffen wurde, um die regelmäßigen Mitarbeiter, die wegen längerer Krankheit oder Invalidität, die bis zu [NUMMER] Monaten andauert, zu unterstützen. Alle regelmäßigen Mitarbeiter mit mehr als einem ununterbrochenen Jahr der Betriebszugehörigkeit, basierend auf dem Tag ihrer Einstellung als regelmäßige Mitarbeiter, sind zur Berücksichtigung für Leistungen für kurzfristige Invalidität berechtigt. Dieser Plan hat in den Plan zur langfristigen Invaliditätsversicherung von [NAME IHRES UNTERNEHMENS] integriert zu werden, welcher Leistungszahlungen für regelmäßige Mitarbeiter mit mindestens einem Jahr der Betriebszugehörigkeit nach einer Vollinvalidität von [NUMMER] Monaten vorsieht. Jede Krankheit oder Beeinträchtigung der Gesundheit, die durch eine schriftliche Erklärung eines beglaubigten Arztes bestätigt wird, und von einem Mitarbeiter fordert, an [NUMMER] aufeinanderfolgenden Arbeitstagen oder länger von der Arbeit abwesend zu sein, qualifiziert den Mitarbeiter zur Berücksichtigung für Leistungen nach Programm zur kurzfristigen Invaliditätsversicherung. Leistungen stehen nur einem Mitarbeiter zu, der sich in der Pflege eines bescheinigten Arztes befindet. Ein Arzt muss das Datum des Beginns, die Dauer und das Datum des Endes der Invalidität des Mitarbeiters auf einem Formular zur Bescheinigung der Invalidität bescheinigen. Die Auszahlung von Leistungen aus dem Plan zur kurzfristigen Invaliditätsversicherung verzögert sich oder wird verweigert, wenn wir nicht in der Lage sind, den Beginn und die Dauer des Status der Invalidität zu bescheinigen. Leistungen aus dem Plan zur kurzfristigen Invaliditätsversicherung müssen genehmigt werden, bevor Leistungen ausbezahlt werden. Die Tatsache, dass ein Mitarbeiter eine ärztliche Bescheinigung über eine Krankheit/Invalidität vorlegt schafft nicht an sich eine Berechtigung auf Leistungen aus dem Plan zur kurzfristigen Invaliditätsversicherung. [NAME IHRES UNTERNEHMENS] behält sich das Recht vor, vor der Erteilung der Genehmigung von Leistungen aus der kurzfristigen Invaliditätsversicherung im Rahmen dieses Programms zusätzliche Informationen vom Mitarbeiter oder dem Arzt des Mitarbeiters anzufordern und/oder vom Mitarbeiter eine Bescheinigung der Krankheit/Behinderung von einem Arzt der Wahl von [NAME IHRES UNTERNEHMENS] auf Kosten von [NAME IHRES UNTERNEHMENS] zu verlangen,. Leistungen im Rahmen dieses Programms müssen vom Mitarbeiter durch [NAME DER PERSON, WELCHE ANTRÄGE EMPFÄNGT] beantragt werden und von [NAME DER PERSON, WELCHE ANTRÄGE GENEHMIGT] genehmigt werden. [NAME IHRES UNTERNEHMENS] kann Mitarbeiter auf eine medizinische Beurlaubung ohne Bezahlung schicken, wenn Zweifel an der ehrlichen Natur der Krankheit/Invalidität bestehen, oder wenn zusätzliche medizinische Informationen benötigt werden, um den Anspruch zu untermauern. Wenn zusätzliche medizinische Informationen angefordert werden, bleibt der Mitarbeiter in ärztlicher Beurlaubung ohne Bezahlung, bis die Krankheit/Invalidität bescheinigt ist und ein bestimmtes Datum auf Grundlage der zusätzliche Informationen des Arzt des Mitarbeiters oder eines Arztes von [NAME IHRES UNTERNEHMENS] festgesetzt ist. Eine Rückbestätigung der Invalidität oder langfristigen Erkrankung durch den behandelnden Arzt wird von [NAME IHRES UNTERNEHMENS] alle zwei Wochen verlangt, es sei denn, ein Arzt ist in der Lage, gleich zu Beginn einen gesamten Zeitraum der Invalidität vorherzusagen. Diese rückbestätigten Bescheinigungen können Gegenstand der Überprüfung durch einen nach Wahl des Unternehmens und auf dessen Kosten gerufenen Arztes werden. Leistungen für kurzfristige Invalidität beginnen mit dem Datum der ärztlichen Bescheinigung oder dem ersten Tag des Zeitraums der Invalidität, wie dies durch das Datum der Wirksamkeit in der Bescheinigung ausgewiesen wird, je nachdem, welches das frühere Datum ist. Der Höchstbetrag der Leistungen aus dem Programm zur kurzfristigen Invaliditätsversicherung sind [NUMMER] Arbeitstage mit vollem Lohnausgleich oder eine Kombination von gesamter und halber Lohnzahlung für zusammen [NUMMER] Arbeitstage, nach welcher Zeit eine Festsetzung erfolgen kann, dass der Mitarbeiter die Voraussetzungen für vom Unternehmen ausbezahlte Leistungen aus langfristiger Invalidität erfüllt. Leistungen für kurzfristige Invalidität werden in Einklang mit der folgenden Tabelle ausbezahlt: Dauer der Beschäftigungals ein regelmäßiger Mitarbeiter Betrag der Leistung 1-2 Jahre 20 Tage mit vollem Lohnausgleich, gefolgt von20 Tagen mit halbem Lohn 3 Jahre 30 Tage mit vollem Lohnausgleich, gefolgt von30 Tagen mit halbem Lohn 4 Jahre 40 Tage mit vollem Lohnausgleich, gefolgt vonby 40 Tagen mit halbem Lohn 5 Jahre 50 Tage mit vollem Lohnausgleich, gefolgt von50 Tagen mit halbem Lohn 6 Jahre 60 Tage mit vollem Lohnausgleich, gefolgt von60 Tagen mit halbem Lohn 7 Jahre 70 Tage mit vollem Lohnausgleich, gefolgt von60 Tagen mit halbem Lohn 8 Jahre 80 Tage mit vollem Lohnausgleich, gefolgt von50 Tagen mit halbem Lohn 9 Jahre 90 Tage mit vollem Lohnausgleich, gefolgt von40 Tagen mit halbem Lohn 10 Jahre 100 Tage mit vollem Lohnausgleich, gefolgt von30 Tagen mit halbem Lohn 11 Jahre 110 Tage mit vollem Lohnausgleich, gefolgt von20 Tagen mit halbem Lohn 12 Jahre 120 Tage mit vollem Lohnausgleich, gefolgt von10 Tagen mit halbem Lohn 13 Jahre oder mehr (Maximaler Betrag an Leistung) [NUMMER] Tage mit vollem Lohnausgleich Die Berechnungsgrundlage für die Leistungen eines Kundenvertreters oder eines Mitarbeiters mit sonstigen leistungsbezogenen Vergütungen ist entweder: 80% des Gesamteinkommens der letzten 24 Monate geteilt durch 52 zweiwöchentliche Zeiträume (oder, wenn erstmalig in den Genuss gelangt, die letzten 12 Monate geteilt durch 26) um den durchschnittlichen zweiwöchentlichen Gehaltsscheck zu ermitteln; oder 100% des tatsächlichen jährlichen Gesamteinkommens geteilt durch 26, um den zweiwöchentlichen Gehaltsscheck zu bestimmen, je nachdem, welches der größere Wert ist. Diesen Mitarbeitern werden Leistungen für kurzfristige Invalidität gemäß der Tabelle in l) ausbezahlt. Provisionszahlungen werden, während der Mitarbeiter mit leistungsbezogener Vergütung Leistungen für kurzfristige Invalidität bezieht, eingestellt. Regelmäßige Mitarbeiter sind für unterschiedliche Beträge wie oben erwähnt gemäß der Dauer der Beschäftigung an deren Jahrestag berechtigt. Wenn ein Jubiläumsdatum eintritt, während ein Mitarbeiter Leistungen für kurzfristige Invalidität erhält, hat er Anspruch auf den größeren Versicherungsbetrag, wie in der Tabelle in l) beschrieben. Am Ende von sechs Monaten fortwährender Invalidität wird eine Bewertung vorgenommen, um zu sehen, ob der Mitarbeiter die Voraussetzungen für den Plan zur langfristigen Invaliditätsversicherung von [NAME IHRES UNTERNEHMENS] erfüllt. Wenn zu diesem Zeitpunkt der Mitarbeiter vom Verwalter des Plans zur langfristigen Invaliditätsversicherung bescheinigt wird, kann dessen Beschäftigung mit der Option der Wiedereinstellung, wenn es die Gesundheit des Mitarbeiters erlaubt, gekündigt werden. Wenn es klar wird, dass die Rückkehr des Mitarbeiters zur Arbeit unmittelbar bevorsteht, nachdem bezahlte Leistungen für kurzfristige Invalidität verfallen, kann eine Beurlaubung ohne Bezahlung durch [NAME DER PERSON, WELCHE BEURLAUBUNGEN GENEHMIGT] genehmigt werden. [NAME IHRES UNTERNEHMENS] basiert Zahlungen für Invalidität auf einen Vorfall der Invalidität, anstatt auf ein Kalenderjahr. Ein Zeitraum der Invalidität, der in einem Jahr begonnen hat, kann sich auf das folgende Jahr ausdehnen.

Greifen Sie auf über 3,000+ geschäftliche und rechtliche Vorlagen für jede Aufgabe, jedes Projekt oder jede Initiative zu.

Passen Sie Ihre vorgefertigte Geschäftsdokumentvorlage an und speichern Sie sie in der Cloud.

Teilen Sie Ihre Dateien und Ordner mit Ihrem Team. Erstellen Sie einen Raum für nahtlose Zusammenarbeit.
Hören Sie auf, Dokumente herunterzuladen. Beginnen Sie, mit Klarheit zu arbeiten. Business in a Box bietet Ihnen das Business Operating System, das von über 250.000 Unternehmen weltweit genutzt wird, um ihr Geschäft zu strukturieren, zu führen und auszubauen.
