Das checkliste untersuchung über belästigung es hat 3 seiten und ist ein MS Word art darunter aufgeführt personalwesen unterlagen.
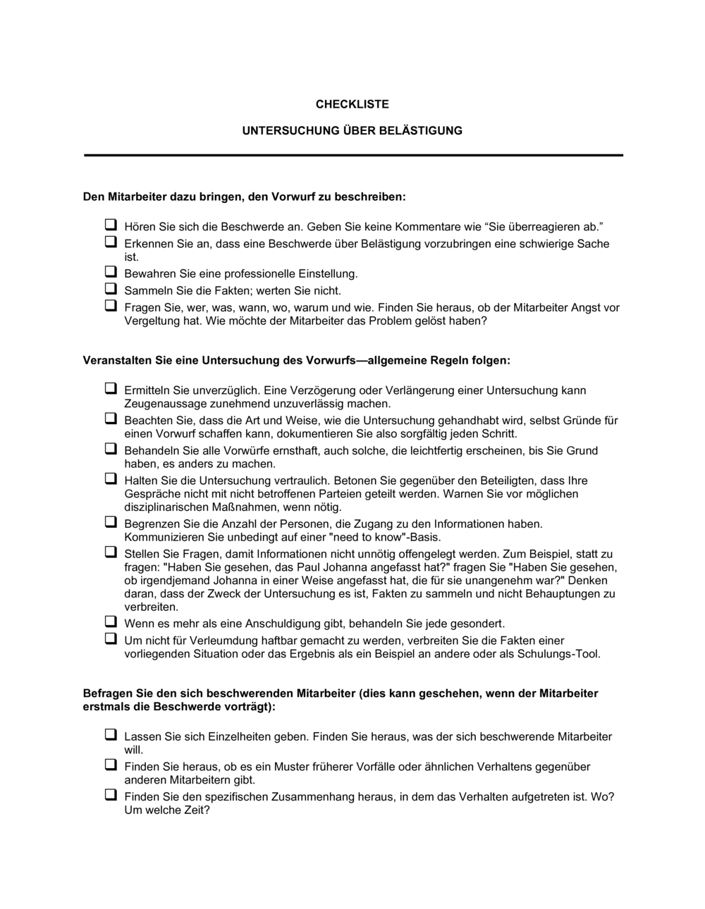
CHECKLISTE UNTERSUCHUNG ÜBER BELÄSTIGUNG Den Mitarbeiter dazu bringen, den Vorwurf zu beschreiben: Hören Sie sich die Beschwerde an. Geben Sie keine Kommentare wie "Sie überreagieren ab." Erkennen Sie an, dass eine Beschwerde über Belästigung vorzubringen eine schwierige Sache ist. Bewahren Sie eine professionelle Einstellung. Sammeln Sie die Fakten; werten Sie nicht. Fragen Sie, wer, was, wann, wo, warum und wie. Finden Sie heraus, ob der Mitarbeiter Angst vor Vergeltung hat. Wie möchte der Mitarbeiter das Problem gelöst haben? Veranstalten Sie eine Untersuchung des Vorwurfs-allgemeine Regeln folgen: Ermitteln Sie unverzüglich. Eine Verzögerung oder Verlängerung einer Untersuchung kann Zeugenaussage zunehmend unzuverlässig machen. Beachten Sie, dass die Art und Weise, wie die Untersuchung gehandhabt wird, selbst Gründe für einen Vorwurf schaffen kann, dokumentieren Sie also sorgfältig jeden Schritt. Behandeln Sie alle Vorwürfe ernsthaft, auch solche, die leichtfertig erscheinen, bis Sie Grund haben, es anders zu machen. Halten Sie die Untersuchung vertraulich. Betonen Sie gegenüber den Beteiligten, dass Ihre Gespräche nicht mit nicht betroffenen Parteien geteilt werden. Warnen Sie vor möglichen disziplinarischen Maßnahmen, wenn nötig. Begrenzen Sie die Anzahl der Personen, die Zugang zu den Informationen haben. Kommunizieren Sie unbedingt auf einer "need to know"-Basis. Stellen Sie Fragen, damit Informationen nicht unnötig offengelegt werden. Zum Beispiel, statt zu fragen: "Haben Sie gesehen, das Paul Johanna angefasst hat?" fragen Sie "Haben Sie gesehen, ob irgendjemand Johanna in einer Weise angefasst hat, die für sie unangenehm war?" Denken daran, dass der Zweck der Untersuchung es ist, Fakten zu sammeln und nicht Behauptungen zu verbreiten. Wenn es mehr als eine Anschuldigung gibt, behandeln Sie jede gesondert. Um nicht für Verleumdung haftbar gemacht zu werden, verbreiten Sie die Fakten einer vorliegenden Situation oder das Ergebnis als ein Beispiel an andere oder als Schulungs-Tool. Befragen Sie den sich beschwerenden Mitarbeiter (dies kann geschehen, wenn der Mitarbeiter erstmals die Beschwerde vorträgt): Lassen Sie sich Einzelheiten geben. Finden Sie heraus, was der sich beschwerende Mitarbeiter will. Finden Sie heraus, ob es ein Muster früherer Vorfälle oder ähnlichen Verhaltens gegenüber anderen Mitarbeitern gibt. Finden Sie den spezifischen Zusammenhang heraus, in dem das Verhalten aufgetreten ist. Wo? Um welche Zeit? Bestimmen Sie die Wirkung des Verhaltens auf den sich beschwerenden Mitarbeiter. War sie wirtschaftlicher, nicht-wirtschaftliche und/oder psychologisch? Bestimmen Sie den zeitlichen Zusammenhang zwischen dem Auftreten des Verhaltens, dessen Wirkung auf den sich beschwerenden Mitarbeiter, und die Zeit, wann der Mitarbeiter seine Beschwerde vorgetragen hat. Bereiten Sie eine zeitliche Abfolge vor. Untersuchen Sie, ob es vielleicht bestimmte Ereignisse gegeben hat, welche die Beschwerde ausgelöst haben, z.B. Beförderung, Ablehnung einer Bezahlung oder Versetzung. Bestimmen Sie, ob es irgendwelche möglichen Motive auf Seiten des sich beschwerenden Mitarbeiters gibt. Erklären Sie dem sich beschwerenden Mitarbeiter, dass die Anschuldigungen schwerwiegend sind, und dass Sie eine gründliche Untersuchung durchführen werden, bevor Rückschlüsse gezogen werden können, und dass gegen ihn oder sie für den Vortrag der Beschwerde keinerlei Vergeltung folgt. Machen Sie keine Aussagen über Charakter des beschuldigten Mitarbeiters, dessen Arbeitsleistung oder dessen Familienleben. Befragen Sie den Beschuldigten: Lassen Sie sich eine Stellungnahme vom Beschuldigten geben
Teil Ihres Business Operating System
Bewertet am

Das checkliste untersuchung über belästigung es hat 3 seiten und ist ein MS Word art darunter aufgeführt personalwesen unterlagen.
CHECKLISTE UNTERSUCHUNG ÜBER BELÄSTIGUNG Den Mitarbeiter dazu bringen, den Vorwurf zu beschreiben: Hören Sie sich die Beschwerde an. Geben Sie keine Kommentare wie "Sie überreagieren ab." Erkennen Sie an, dass eine Beschwerde über Belästigung vorzubringen eine schwierige Sache ist. Bewahren Sie eine professionelle Einstellung. Sammeln Sie die Fakten; werten Sie nicht. Fragen Sie, wer, was, wann, wo, warum und wie. Finden Sie heraus, ob der Mitarbeiter Angst vor Vergeltung hat. Wie möchte der Mitarbeiter das Problem gelöst haben? Veranstalten Sie eine Untersuchung des Vorwurfs-allgemeine Regeln folgen: Ermitteln Sie unverzüglich. Eine Verzögerung oder Verlängerung einer Untersuchung kann Zeugenaussage zunehmend unzuverlässig machen. Beachten Sie, dass die Art und Weise, wie die Untersuchung gehandhabt wird, selbst Gründe für einen Vorwurf schaffen kann, dokumentieren Sie also sorgfältig jeden Schritt. Behandeln Sie alle Vorwürfe ernsthaft, auch solche, die leichtfertig erscheinen, bis Sie Grund haben, es anders zu machen. Halten Sie die Untersuchung vertraulich. Betonen Sie gegenüber den Beteiligten, dass Ihre Gespräche nicht mit nicht betroffenen Parteien geteilt werden. Warnen Sie vor möglichen disziplinarischen Maßnahmen, wenn nötig. Begrenzen Sie die Anzahl der Personen, die Zugang zu den Informationen haben. Kommunizieren Sie unbedingt auf einer "need to know"-Basis. Stellen Sie Fragen, damit Informationen nicht unnötig offengelegt werden. Zum Beispiel, statt zu fragen: "Haben Sie gesehen, das Paul Johanna angefasst hat?" fragen Sie "Haben Sie gesehen, ob irgendjemand Johanna in einer Weise angefasst hat, die für sie unangenehm war?" Denken daran, dass der Zweck der Untersuchung es ist, Fakten zu sammeln und nicht Behauptungen zu verbreiten. Wenn es mehr als eine Anschuldigung gibt, behandeln Sie jede gesondert. Um nicht für Verleumdung haftbar gemacht zu werden, verbreiten Sie die Fakten einer vorliegenden Situation oder das Ergebnis als ein Beispiel an andere oder als Schulungs-Tool. Befragen Sie den sich beschwerenden Mitarbeiter (dies kann geschehen, wenn der Mitarbeiter erstmals die Beschwerde vorträgt): Lassen Sie sich Einzelheiten geben. Finden Sie heraus, was der sich beschwerende Mitarbeiter will. Finden Sie heraus, ob es ein Muster früherer Vorfälle oder ähnlichen Verhaltens gegenüber anderen Mitarbeitern gibt. Finden Sie den spezifischen Zusammenhang heraus, in dem das Verhalten aufgetreten ist. Wo? Um welche Zeit? Bestimmen Sie die Wirkung des Verhaltens auf den sich beschwerenden Mitarbeiter. War sie wirtschaftlicher, nicht-wirtschaftliche und/oder psychologisch? Bestimmen Sie den zeitlichen Zusammenhang zwischen dem Auftreten des Verhaltens, dessen Wirkung auf den sich beschwerenden Mitarbeiter, und die Zeit, wann der Mitarbeiter seine Beschwerde vorgetragen hat. Bereiten Sie eine zeitliche Abfolge vor. Untersuchen Sie, ob es vielleicht bestimmte Ereignisse gegeben hat, welche die Beschwerde ausgelöst haben, z.B. Beförderung, Ablehnung einer Bezahlung oder Versetzung. Bestimmen Sie, ob es irgendwelche möglichen Motive auf Seiten des sich beschwerenden Mitarbeiters gibt. Erklären Sie dem sich beschwerenden Mitarbeiter, dass die Anschuldigungen schwerwiegend sind, und dass Sie eine gründliche Untersuchung durchführen werden, bevor Rückschlüsse gezogen werden können, und dass gegen ihn oder sie für den Vortrag der Beschwerde keinerlei Vergeltung folgt. Machen Sie keine Aussagen über Charakter des beschuldigten Mitarbeiters, dessen Arbeitsleistung oder dessen Familienleben. Befragen Sie den Beschuldigten: Lassen Sie sich eine Stellungnahme vom Beschuldigten geben

Greifen Sie auf über 3,000+ geschäftliche und rechtliche Vorlagen für jede Aufgabe, jedes Projekt oder jede Initiative zu.

Passen Sie Ihre vorgefertigte Geschäftsdokumentvorlage an und speichern Sie sie in der Cloud.

Teilen Sie Ihre Dateien und Ordner mit Ihrem Team. Erstellen Sie einen Raum für nahtlose Zusammenarbeit.
Hören Sie auf, Dokumente herunterzuladen. Beginnen Sie, mit Klarheit zu arbeiten. Business in a Box bietet Ihnen das Business Operating System, das von über 250.000 Unternehmen weltweit genutzt wird, um ihr Geschäft zu strukturieren, zu führen und auszubauen.
