Das checkliste heimarbeiter es hat 1 seiten und ist ein MS Word art darunter aufgeführt personalwesen unterlagen.
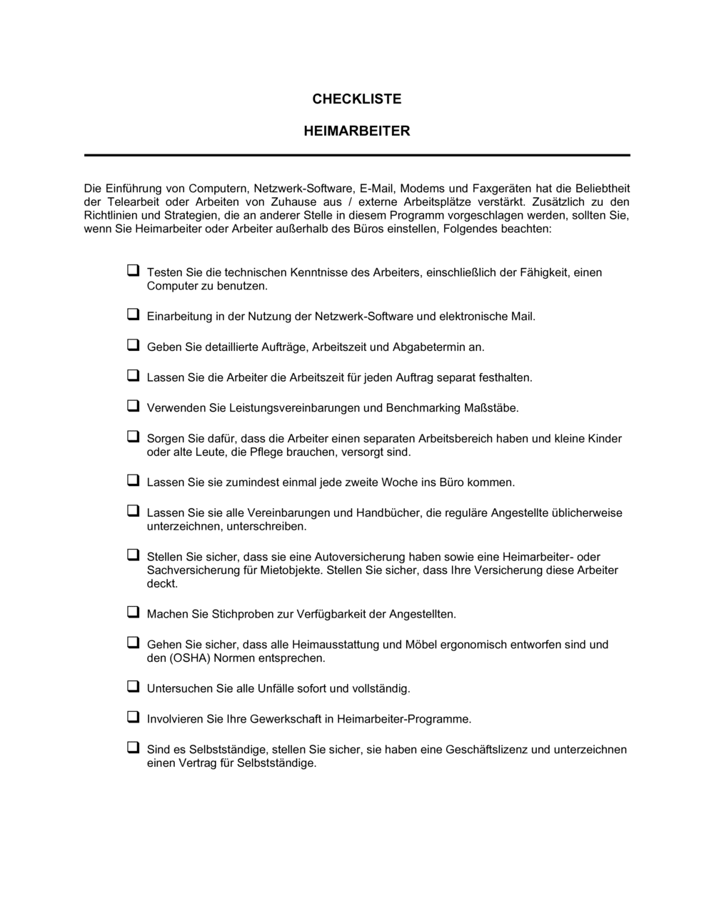
CHECKLISTE HEIMARBEITER Die Einführung von Computern, Netzwerk-Software, E-Mail, Modems und Faxgeräten hat die Beliebtheit der Telearbeit oder Arbeiten von Zuhause aus / externe Arbeitsplätze verstärkt. Zusätzlich zu den Richtlinien und Strategien, die an anderer Stelle in diesem Programm vorgeschlagen werden, sollten Sie, wenn Sie Heimarbeiter oder Arbeiter außerhalb des Büros einstellen, Folgendes beachten: Testen Sie die technischen Kenntnisse des Arbeiters, einschließlich der Fähigkeit, einen Computer zu benutzen. Einarbeitung in der Nutzung der Netzwerk-Software und elektronische Mail. Geben Sie detaillierte Aufträge, Arbeitszeit und Abgabetermin an. Lassen Sie die Arbeiter die Arbeitszeit für jeden Auftrag separat festhalten. Verwenden Sie Leistungsvereinbarungen und Benchmarking Maßstäbe.
Teil Ihres Business Operating System
Bewertet am

Das checkliste heimarbeiter es hat 1 seiten und ist ein MS Word art darunter aufgeführt personalwesen unterlagen.
CHECKLISTE HEIMARBEITER Die Einführung von Computern, Netzwerk-Software, E-Mail, Modems und Faxgeräten hat die Beliebtheit der Telearbeit oder Arbeiten von Zuhause aus / externe Arbeitsplätze verstärkt. Zusätzlich zu den Richtlinien und Strategien, die an anderer Stelle in diesem Programm vorgeschlagen werden, sollten Sie, wenn Sie Heimarbeiter oder Arbeiter außerhalb des Büros einstellen, Folgendes beachten: Testen Sie die technischen Kenntnisse des Arbeiters, einschließlich der Fähigkeit, einen Computer zu benutzen. Einarbeitung in der Nutzung der Netzwerk-Software und elektronische Mail. Geben Sie detaillierte Aufträge, Arbeitszeit und Abgabetermin an. Lassen Sie die Arbeiter die Arbeitszeit für jeden Auftrag separat festhalten. Verwenden Sie Leistungsvereinbarungen und Benchmarking Maßstäbe.

Greifen Sie auf über 3,000+ geschäftliche und rechtliche Vorlagen für jede Aufgabe, jedes Projekt oder jede Initiative zu.

Passen Sie Ihre vorgefertigte Geschäftsdokumentvorlage an und speichern Sie sie in der Cloud.

Teilen Sie Ihre Dateien und Ordner mit Ihrem Team. Erstellen Sie einen Raum für nahtlose Zusammenarbeit.
Hören Sie auf, Dokumente herunterzuladen. Beginnen Sie, mit Klarheit zu arbeiten. Business in a Box bietet Ihnen das Business Operating System, das von über 250.000 Unternehmen weltweit genutzt wird, um ihr Geschäft zu strukturieren, zu führen und auszubauen.
