Questo foglio di lavoro selezione dell'attività possiede 2 pagine ed è un MS Word tipo elencati sotto gestione d'impresa e planning documenti.
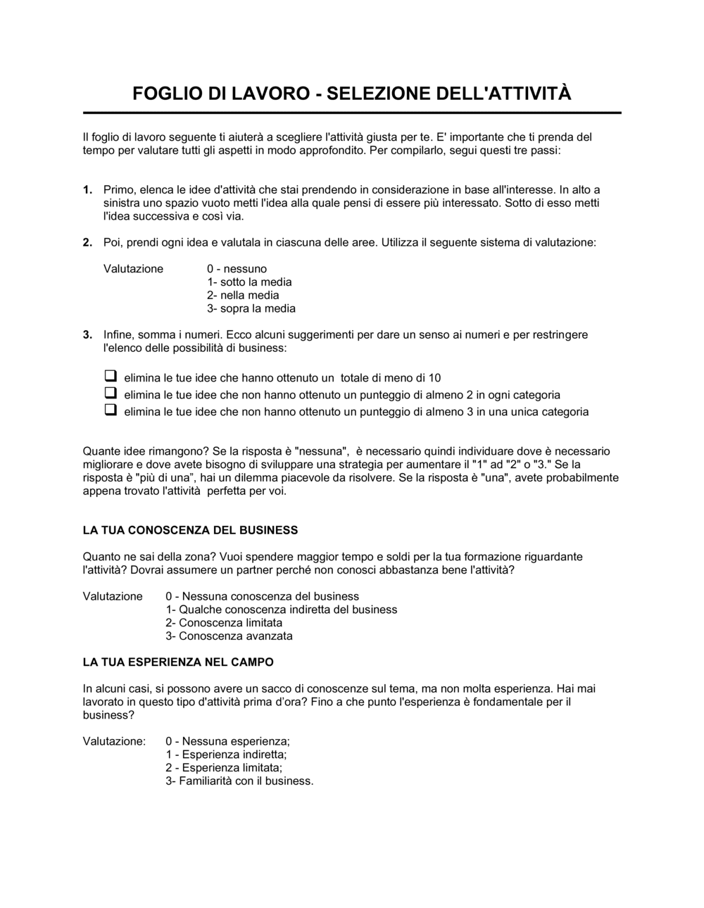
Foglio di lavoro - selezione dell'attività Il foglio di lavoro seguente ti aiuterà a scegliere l'attività giusta per te. E' importante che ti prenda del tempo per valutare tutti gli aspetti in modo approfondito. Per compilarlo, segui questi tre passi: Primo, elenca le idee d'attività che stai prendendo in considerazione in base all'interesse. In alto a sinistra uno spazio vuoto metti l'idea alla quale pensi di essere più interessato. Sotto di esso metti l'idea successiva e così via. Poi, prendi ogni idea e valutala in ciascuna delle aree. Utilizza il seguente sistema di valutazione: Valutazione 0 - nessuno 1- sotto la media 2- nella media 3- sopra la media Infine, somma i numeri. Ecco alcuni suggerimenti per dare un senso ai numeri e per restringere l'elenco delle possibilità di business: elimina le tue idee che hanno ottenuto un totale di meno di 10 elimina le tue idee che non hanno ottenuto un punteggio di almeno 2 in ogni categoria elimina le tue idee che non hanno ottenuto un punteggio di almeno 3 in una unica categoria Quante idee rimangono? Se la risposta è "nessuna", è necessario quindi individuare dove è necessario migliorare e dove avete bisogno di sviluppare una strategia per aumentare il "1" ad "2" o "3." Se la risposta è "più di una", hai un dilemma piacevole da risolvere. Se la risposta è "una", avete probabilmente appena trovato l'attività perfetta per voi. La TUA conoscenza del business Quanto ne sai della zona? Vuoi spendere maggior tempo e soldi per la tua formazione riguardante l'attività? Dovrai assumere un partner perché non conosci abbastanza bene l'attività? Valutazione 0 - Nessuna conoscenza del business 1- Qualche conoscenza indiretta del business 2- Conoscenza limitata 3- Conoscenza avanzata la tua esperienza nel campo In alcuni casi, si possono avere un sacco di conoscenze sul tema, ma non molta esperienza
Parte del tuo sistema operativo aziendale
Recensito il

Questo foglio di lavoro selezione dell'attività possiede 2 pagine ed è un MS Word tipo elencati sotto gestione d'impresa e planning documenti.
Foglio di lavoro - selezione dell'attività Il foglio di lavoro seguente ti aiuterà a scegliere l'attività giusta per te. E' importante che ti prenda del tempo per valutare tutti gli aspetti in modo approfondito. Per compilarlo, segui questi tre passi: Primo, elenca le idee d'attività che stai prendendo in considerazione in base all'interesse. In alto a sinistra uno spazio vuoto metti l'idea alla quale pensi di essere più interessato. Sotto di esso metti l'idea successiva e così via. Poi, prendi ogni idea e valutala in ciascuna delle aree. Utilizza il seguente sistema di valutazione: Valutazione 0 - nessuno 1- sotto la media 2- nella media 3- sopra la media Infine, somma i numeri. Ecco alcuni suggerimenti per dare un senso ai numeri e per restringere l'elenco delle possibilità di business: elimina le tue idee che hanno ottenuto un totale di meno di 10 elimina le tue idee che non hanno ottenuto un punteggio di almeno 2 in ogni categoria elimina le tue idee che non hanno ottenuto un punteggio di almeno 3 in una unica categoria Quante idee rimangono? Se la risposta è "nessuna", è necessario quindi individuare dove è necessario migliorare e dove avete bisogno di sviluppare una strategia per aumentare il "1" ad "2" o "3." Se la risposta è "più di una", hai un dilemma piacevole da risolvere. Se la risposta è "una", avete probabilmente appena trovato l'attività perfetta per voi. La TUA conoscenza del business Quanto ne sai della zona? Vuoi spendere maggior tempo e soldi per la tua formazione riguardante l'attività? Dovrai assumere un partner perché non conosci abbastanza bene l'attività? Valutazione 0 - Nessuna conoscenza del business 1- Qualche conoscenza indiretta del business 2- Conoscenza limitata 3- Conoscenza avanzata la tua esperienza nel campo In alcuni casi, si possono avere un sacco di conoscenze sul tema, ma non molta esperienza

Accedi a oltre 3,000+ modelli aziendali e legali per qualsiasi attività, progetto o iniziativa.

Personalizza il tuo modello di documento aziendale pronto all'uso e salvalo nel cloud.

Condividi i tuoi file e cartelle con il tuo team. Crea uno spazio di collaborazione fluida.
Smetti di scaricare documenti. Inizia a operare con chiarezza. Business in a Box ti offre il sistema operativo aziendale utilizzato da oltre 250.000 aziende in tutto il mondo per strutturare, gestire e far crescere la tua attività.
