Das checkliste progressive disziplin dokumentation es hat 2 seiten und ist ein MS Word art darunter aufgeführt personalwesen unterlagen.
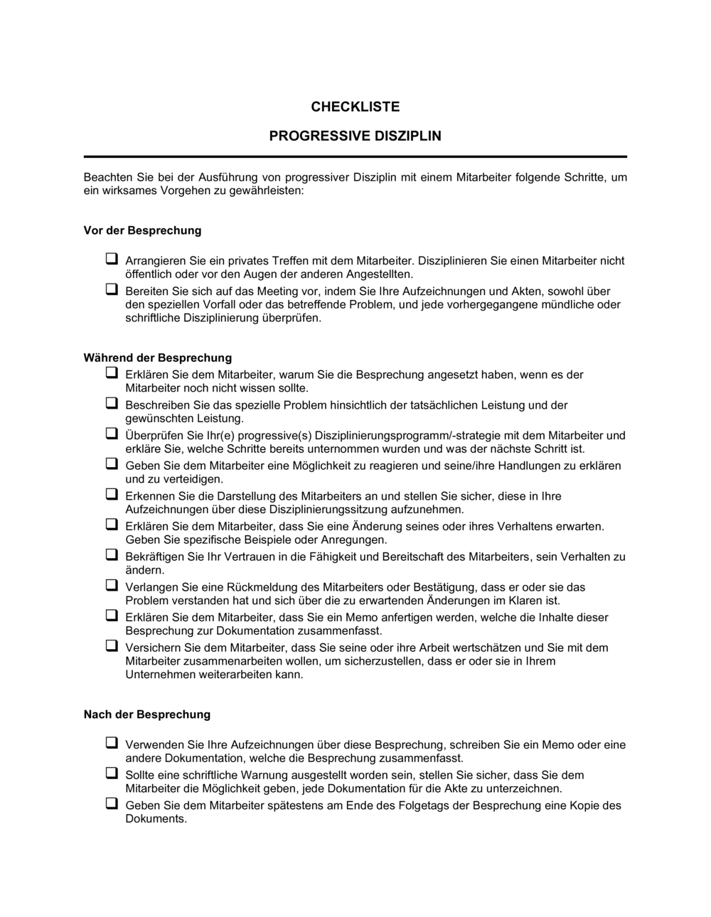
ChecklistE Progressive Disziplin Beachten Sie bei der Ausführung von progressiver Disziplin mit einem Mitarbeiter folgende Schritte, um ein wirksames Vorgehen zu gewährleisten: Vor der Besprechung Arrangieren Sie ein privates Treffen mit dem Mitarbeiter. Disziplinieren Sie einen Mitarbeiter nicht öffentlich oder vor den Augen der anderen Angestellten. Bereiten Sie sich auf das Meeting vor, indem Sie Ihre Aufzeichnungen und Akten, sowohl über den speziellen Vorfall oder das betreffende Problem, und jede vorhergegangene mündliche oder schriftliche Disziplinierung überprüfen. Während der Besprechung Erklären Sie dem Mitarbeiter, warum Sie die Besprechung angesetzt haben, wenn es der Mitarbeiter noch nicht wissen sollte. Beschreiben Sie das spezielle Problem hinsichtlich der tatsächlichen Leistung und der gewünschten Leistung. Überprüfen Sie Ihr(e) progressive(s) Disziplinierungsprogramm/-strategie mit dem Mitarbeiter und erkläre Sie, welche Schritte bereits unternommen wurden und was der nächste Schritt ist. Geben Sie dem Mitarbeiter eine Möglichkeit zu reagieren und seine/ihre Handlungen zu erklären und zu verteidigen. Erkennen Sie die Darstellung des Mitarbeiters an und stellen Sie sicher, diese in Ihre Aufzeichnungen über diese Disziplinierungssitzung aufzunehmen. Erklären Sie dem Mitarbeiter, dass Sie eine Änderung seines oder ihres Verhaltens erwarten
Teil Ihres Business Operating System
Bewertet am

Das checkliste progressive disziplin dokumentation es hat 2 seiten und ist ein MS Word art darunter aufgeführt personalwesen unterlagen.
ChecklistE Progressive Disziplin Beachten Sie bei der Ausführung von progressiver Disziplin mit einem Mitarbeiter folgende Schritte, um ein wirksames Vorgehen zu gewährleisten: Vor der Besprechung Arrangieren Sie ein privates Treffen mit dem Mitarbeiter. Disziplinieren Sie einen Mitarbeiter nicht öffentlich oder vor den Augen der anderen Angestellten. Bereiten Sie sich auf das Meeting vor, indem Sie Ihre Aufzeichnungen und Akten, sowohl über den speziellen Vorfall oder das betreffende Problem, und jede vorhergegangene mündliche oder schriftliche Disziplinierung überprüfen. Während der Besprechung Erklären Sie dem Mitarbeiter, warum Sie die Besprechung angesetzt haben, wenn es der Mitarbeiter noch nicht wissen sollte. Beschreiben Sie das spezielle Problem hinsichtlich der tatsächlichen Leistung und der gewünschten Leistung. Überprüfen Sie Ihr(e) progressive(s) Disziplinierungsprogramm/-strategie mit dem Mitarbeiter und erkläre Sie, welche Schritte bereits unternommen wurden und was der nächste Schritt ist. Geben Sie dem Mitarbeiter eine Möglichkeit zu reagieren und seine/ihre Handlungen zu erklären und zu verteidigen. Erkennen Sie die Darstellung des Mitarbeiters an und stellen Sie sicher, diese in Ihre Aufzeichnungen über diese Disziplinierungssitzung aufzunehmen. Erklären Sie dem Mitarbeiter, dass Sie eine Änderung seines oder ihres Verhaltens erwarten

Greifen Sie auf über 3,000+ geschäftliche und rechtliche Vorlagen für jede Aufgabe, jedes Projekt oder jede Initiative zu.

Passen Sie Ihre vorgefertigte Geschäftsdokumentvorlage an und speichern Sie sie in der Cloud.

Teilen Sie Ihre Dateien und Ordner mit Ihrem Team. Erstellen Sie einen Raum für nahtlose Zusammenarbeit.
Hören Sie auf, Dokumente herunterzuladen. Beginnen Sie, mit Klarheit zu arbeiten. Business in a Box bietet Ihnen das Business Operating System, das von über 250.000 Unternehmen weltweit genutzt wird, um ihr Geschäft zu strukturieren, zu führen und auszubauen.
